Skip to content

Energy materials

CAMECA supports innovation in the field of green energy and LED lighting: among other product lines, SIMS and APT are used to help optimize sharp interface transitions between layers of varying composition in PV and LED devices, monitor the in-depth distribution of dopants, control undesirable contamination that would affect the electrical properties of the compounds...
  • Dopant monitoring in LEDs with SIMS
    Dopant monitoring in LED devices (SIMS)

    CAMECA SIMS instruments are extremely useful in investigating the composition and characterizing the elemental distribution of dopants and impurities on different layers, making them your best choice for R&D and process control of novel LED devices.

    Keep Reading
  • Purity control in PV Si feedstock
    Purity control in PV Si feedstock (SIMS)

    The IMS 7f-Auto is the tool of choice for quality control of the Si purification process which is mandatory to ensure high yield manufacturing of Si-based solar cell devices.

    Keep Reading
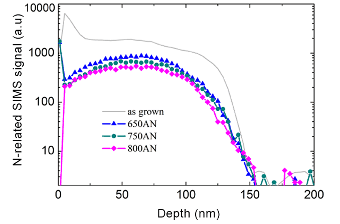
  • SIMS depth profiling of Nitrogen doping in Cu2O
    Materials for Energy & Catalysis (SIMS)

    SIMS nitrogen concentration depth profiles in Cuprous oxide (Cu2O) films doped with nitrogen plasma help enhancing the conductivity of this material used for low-cost solar-energy conversion and photocatalysis.

    Keep Reading
  • CIGS thin film solar cells
    CIGS thin film solar cells (SIMS)

    Dynamic SIMS instruments are best fit to characterize the elemental in-depth distribution (matrix species & alkali metals Na and K) in various different CIGS thin films.

    Keep Reading